kw是什么单位,kw是什么计量单位?
kw是什么单位,kw是什么计量单位?
kw是什么计量单位
kW(千瓦)是一个功率单位,早期为电的功率单位。 相关换算: 1千瓦=1000牛顿·米/秒 (N·m/s) 1千瓦=0.239千卡/秒 (kcal/s) 注: 1、1焦耳为1牛顿力使物体移动1米的功。
2、使质量为1kg的物体产生1m/s²加速度的力,叫做1牛顿。

电力系统中kw kvA kvar分别是什么单位
kw为有功功率(千瓦) 单位, kvA为视在功率(千伏安)单位 , kvar为无功功率(千乏)单位

额定功率kw是什么意思
额定功率,是指机械设备所能达到的最大输出功率,机械设备的实际输出功率不会大于额定功率,这一点与电器不同。
电器的额定功率是指用电器正常工作时的功率。KW是1000瓦的意思。它的值为用电器的额定电压乘以额定电流。若用电器的实际功率大于额定功率,则用电器可能会损坏;若实际功率小于额定功率,则用电器无法正常运行。
在正常运行工作状况下,动力设备的输出功率或消耗能量的设备的输入功率。常以“千瓦”为单位。也指工厂生产的机器在正常工作时所能达到的功率。即平常所说的某机器的功率,机器的额定功率是一定的。
kw在数学中什么意思
kw意思是千瓦,是kilowatt的英文缩写。
千瓦(kilowatt)是功率单位,等于1000瓦特。千瓦早期主要用于电学,现在有更广泛应用的趋势。在电学上,千瓦时(kilowatt-hour)与度完全相等,只是称谓不同。一千瓦时=1000瓦*3600秒=3600千焦=3,600,000焦耳。
千瓦通常被用来表达发电机、发动机、电机、工具、机器、电热器等的功率。它也是表达广播和电视发射塔的电磁功率的常用单位。
有功功率单位是什么
用电容量是指用电人需要的装接容量(也称受电容量),一般以用电人的所有用电设备的额定容量之和为依据;而额定容量则以额定电压与额定电流的乘积即干伏安(kva)为单位表示。
所以,用电容量表示可以带动多少干伏安视在功率(千瓦为有功功率单位,千伏安为视在功率单位)的用电设备,即允许有多少功率的用电设备同时使用。
而千伏安小时或千瓦小时才为用电量。
举一浅显的例子,一台功率为2千瓦的电热水器,使用半个小时,即用去1千瓦小时(1度)为电量。
地址为用电人用电地址,即受电的点或位置。
用电性质是指工业用电、农业用电还是生活用电,是长期用电还是临时用电,等等。
耗电量kwh什么意思
电量里的kwh表示千瓦时就是电度。千瓦时或千瓦小时(符号:kW·h;常简称为度)是一个能量量度单位,表示一件功率为一千瓦的电器在使用一小时之后所消耗的能量。“千瓦‧时”这个单位主要用于量度电力,因为“千瓦‧时”比焦耳更容易被大众了解,并更易转化为电器使用时数。
另一方面,焦耳相对“千瓦‧时”的单位量度太小,较不方便计算,而中国大陆亦有公共机构在收费单上使用“兆瓦·时”来代替“千瓦‧时”。在中文里,“千瓦”有时被写为瓩。
kw的单位换算
kw是千瓦,是瓦的上级单位,是千进位。瓦是功率的基本单位。它的下级单位是毫瓦,同样是千进位。它们的关系是:
1千瓦=1000瓦
1瓦=1000毫瓦
1毫瓦=1000微瓦
KVA与KW有什么区别
KVA与KW有什么区别?
答案
它们是两种不同的单位。其中,KVA是视在功率的单位,KW是有功功率的单位。
引子
相信上面这个回答肯定会让大家很不满意。虽然这个回答没有错误,但是网上随便一搜都能得到这个答案,各种电工基础书都有写。
但什么是视在功率?什么是有功功率?虽然很多书上也有解答,但是我感觉不够接地气,估计很多朋友听完以后还是云里雾里。
我就从我的个人理解来介绍一下它们的区别,如果你觉得对你有帮助,记得点赞关注哟!
功率分类
功率一共分为三种:有功功率、无功功率、视在功率。我们先来看它们的定义
有功功率:负载把电能转化成其他形式能量的多少。它的常用单位有瓦(W)、千瓦(KW)、匹(HP)等。
无功功率:负载并没有消耗电能,只是把电能暂时储存起来的那部分能量。它的常用单位有乏(Var)、千乏(Kvar)等
视在功率:电源提供的总功率。它的常用单位有伏安(VA)、千伏安(KVA)等。
举个例子
假设我要把一批水果从楼下搬到楼上,水果里面有大西瓜、小番茄等。那么我们可以把搬大西瓜、小番茄需要的力看成有功功率;把搬框子需要的力看出无功功率;把需要的总力气看出视在功率。
有些设备它必须需要无功功率,没有无功功率就没办法工作,比如电动机。就好比你要把小番茄搬到楼上,那你就必须借助框子。也有些设备不需要无功功率,比如电阻炉。就好比你要把大西瓜搬上楼,你可以不必借助框子。
我们需要的就是把水果搬上楼,搬框子并不是我的目的。但是要想把小番茄搬上楼,就必须的借助框子。为了提高效率,我们可以采用某些办法来减轻框子的重量,把这种叫作无功补偿。
实例说明
现在我们把它放到电气设备里来理解。
假设有一个三相电机,它的主要任务就是把电转换成机械输出,也就是旋转力。但是电机在把电转换成旋转力之前,首先必须转换成磁场,然后磁场再推动电机旋转。那么有功功率就是指电机输出的旋转力,而无功功率就是指线圈内磁场的那一部分功率,视在功率就是指变压器提供的总功率。
由于变压器不仅可以输出有功功率,还可以输出无功功率;但是如果输出的无功功率多了,那么能输出的有功功率自然就少了。所以为了提高变压器有功功率的输出,那就要尽量降低无功功率的输出。
但是电机又必须要无功功率,那怎么办?这时我们就可以采用功率补偿,比如在母线上并联电容补偿柜。把本应该由电源提供的无功功率变为由补偿柜提供。这样就提高了电源的有功功率输出,从而让经济利益最大化(因为电费是按有功功率来计算的)。
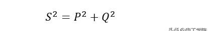
相关公式
视在功率、有功功率、无功功率之间的关系:

视在功率和电压电流的关系(比如计算变压器电流):

单相有功功率计算:

三相有功功率计算:

无功功率计算:

功率因素计算:

以上就是我的回答,如果还有其他不足或疑问,欢迎大家评论!
我是电工学院,专门负责电工培训、考证;如果你对电工感兴趣,可以关注我!如果觉得不错,记得点赞、评论、转发!感谢!
标签:
