法老之蛇世界未解之谜(变态神人终结黑暗时代)
法老之蛇世界未解之谜(变态神人终结黑暗时代)

这道题
还真有点东西
从前,有一个农场养了一对刚出生的兔子。
假设一对刚出生的小兔一个月后就能长成大兔,再过一个月就能生下一对小兔,并且此后每个月都生一对小兔,一年内没有发生死亡。
问:农场一年后能有多少对兔子?

这个问题听起来挺简单的,可对于整个数学界来说,这背后所包含的原理可是一枚大炸弹!
让我们先了解一下这位伟大的出题人吧!
阿拉伯数字终于登台
斐波那契,全名留那多·斐波那契,约1170年生于意大利比萨城,十二、十三世纪最著名的数学家之一。

斐波那契画像
作为一个商人的儿子,斐波那契从小就喜欢跟在父亲的屁股后面,看父亲算帐。他爸爸一看这情况,心想:不愧是我儿子!我一定好好培养你!
遵循教育要从娃娃抓起的原则,斐波那契的爸爸天天带着他四处进货、做生意,致力于把斐波那契打造成一个大商人!
做生意自然少不了东颠西跑,斐波那契小小年纪就过上了背井离乡四处飘零的生活。

没几年时间,小小的斐波那契就跟着爸爸跑遍了很多国家:埃及、叙利亚、希腊、西西里和普罗斯......
几乎每到一个地方,爸爸就给斐波那契请一个老师,专门教他学数学。好在,斐波那契还挺喜欢爸爸对自己的教育方式,因此他的数学功底突飞猛进。
在埃及的时候,斐波那契跟着阿拉伯人接触到了一种全新的数字:阿拉伯数字。

当时的欧洲,人们计数都使用罗马数字,几乎没人知道世界上还有这么方便的数字写法。
小斐波那契通过“货比三家”,把学到的不同国家的算术体系进行了比较。

最后发现:还是阿拉伯数字最方便!
这个发现让斐波那契非常激动,他一回到意大利,就开始专心整理这么多年积累的数学知识。其中最重要的内容之一,就是推广阿拉伯数字的用法。
也许,斐波那契一开始只是抱着整理学习笔记的心态整理的,但这本书出版后却直接影响了后世近1000年的人们。

我们现在回过头来看,往往会认为欧洲的数学研究一直都挺前卫的。但事实上,自从希腊文明衰落之后,欧洲在自然科学领域的研究就一直处于停滞状态。
这一直持续到公元12世纪左右才有复苏的迹象,而复苏的原因,就是因为做生意的商人们经常顺手带点外国的土特产啥的回欧洲,这其中就包括各种书籍。
为了满足贵族们看外国书的需求,欧洲出现了很多学者,专门翻译来自阿拉伯、埃及、希腊等诸多国家的著作。
这种变化,最终导致了后面文艺复兴时期,欧洲数学集中式爆发的现象。

而我们今天的主人公——斐波那契就是欧洲学术停滞后,出现的第一位有影响力的数学家。
他写的那本“学习笔记”真正的名字叫做《计算之书》。

别看名字挺简单的,这本书却成为了欧洲中世纪最最重要的数学著作!被欧洲各大学校当做教科书,使用了近200年。
也正是拜这本书所赐,印度人发明的十进制计数法才能传遍欧洲,再通过欧洲传遍世界。
不过,斐波那契在命名的时候也没多想,就按自己老师的国籍,将这种源自印度的先进计数法称为“阿拉伯数字”。

在《计算之书》的卷首语中,斐波那契就强调了阿拉伯数字的厉害之处:
下列的数是印度人的九个数字:987654321。用这九个数字连同阿拉伯人称作零的符号“0’’,就能写出任何数。
《计算之书》一发表,欧洲人就发现:这种阿拉伯数字实在是太好用了!不仅好写,还好记,于是一直将阿拉伯数字使用至今。
斐波那契数列
除了引进了阿拉伯数字,《计算之书》中还有另一项重要内容!那就是我们开篇提到的那个兔子问题。
一对小兔子花一个月就能长成大兔子,而一对大兔子每月则会生一对小兔子,那么,由一对小兔子开始,12个月后一共能有多少对兔子呢?

黑点表示大兔子,白点表示小兔子
通过简单计算,我们能知道前几个月的兔子数量分别是1、1、2、3、5、8、13。仔细观察一下,这一组数字是有规律的:
从第三位开始,每一个数都是前两位之和。这个规律可不是瞎说,他是有实际含义的。

比如我们看7月份共有5 8=13只,其中有8只是六月份的大小兔子之和,另外五只是六月份的大兔子生的小兔子。
同时六月份的小兔子数也是五月份的大小兔子之和,因为五月份的兔子在六月份全部都会长大,具备繁殖能力。
所以7月份的兔子数量,自然是6月的数量加上5月的数量。所以找到规律之后,后面的部分我们就不用一个个画图计算了。

经过超模君这么一讲,你是不是觉得这题目也没有多难?也就是个小学奥数的水平吧。
别着急,有意思的还在后面呢!
在《计算之书》中,斐波那契本人在得出这一串数列之后,并没有进行过多的讨论,仅仅就是当做一道趣题讨论。此后的几百年中,也没什么人专门研究它。
可到了19世纪,斐波那契数列突然就火了,人们通过斐波那契数列延伸出了各种各样的应用。到了1963年,还有人专门成立了斐波那契协会,出版了《斐波那契季刊》。
要追根刨底,自然是因为人们发现了斐波那契数列就是数学界的“黄金分割”。
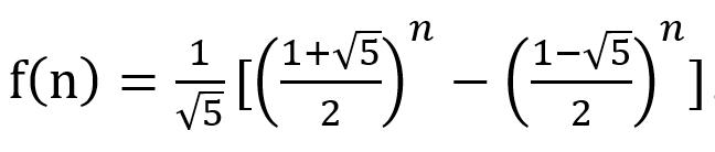
说了是数列,那自然是有通项公式的:

通过通项公式,我们能发现斐波那契数列的前一个数和后一个数的比值无比接近黄金分割数!
尤其是借助计算机进行大量计算后,位数越靠后,越接近!

黄金分割可是数学界最知名的两大无理数之一,自打被人们发现以来,那就一直和最美画上了等号。

无论是《蒙娜丽莎》的容颜,还是断臂维纳斯的身材,都暗藏着黄金分割的影子。而计算黄金分割最简单方法,就是计算斐波那契数列中两个相邻数字之比。
斐波那契数列中的任何一个数都叫做斐波那契数,如果把斐波那契数作为边长,依次排列,再按照图示画出曲线,我们就得到了“斐波那契螺旋”。

神奇的是,这个螺旋明明是人为画出来的,却广泛地出现在自然中,小到一棵草、一朵花,大到宇宙星云都逃不出这一螺旋。

植物中的斐波那契螺旋线

台风中的的斐波那契螺旋线

星系中的斐波那契螺旋线
人们还发现,如果一副画面中包含斐波那契螺旋,那整个画面都会显得非常和谐。这一手法现在被广泛运用到商业摄影摄像中。
偶像剧里面那些男女主甜蜜的画面,你看着就感觉过瘾,说不定就有斐波那契螺旋的功劳在里面。


你在家拍猫片的时候,斐波那契构图法就是出时尚大片的不二法门!


除了拍电影、拍照片之外,高端的平面设计也都离不开斐波那契螺旋。就比如说超模君设计的这套《数学之旅 · 闪耀人类的54个数学家》。

这副扑克牌背面的斐波那契曲线,仿佛就隐藏在浩瀚的星空中,简约、极致、经典、深邃。
类似的例子还有很多,只要你稍稍留心一下,就会发现身边到处都有斐波那契数列的影子。

除去艺术和自然领域,其实斐波那契数列在股市分析、生物进化研究、化学中的准晶体结构、力学结构稳定性等多种领域都有广泛的应用。这其中任何一个领域,都值得超模君专门写一篇文章好好讲。
,
标签:
