奇函数减偶函数是什么函数(如何判断函数奇偶性口诀)
奇函数减偶函数是什么函数(如何判断函数奇偶性口诀)

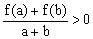
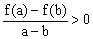
运用函数的奇偶性与单调性的关系是进行区间转换的一种有效手段。奇函数在对称区间上的单调性相同,且

。偶函数在对称区间上的单调性相反,且

。
例1、求解方程

。
解:设函数

,则是奇函数而且单调递增。原方程等价于

,于是有

,即

,得

为所求方程的解。
例2、若定义在(-1,1)上的奇函数是减函数,且有

,求实数a的取值范围。
解:由

,解得

,再由,得

。因f(x)为奇函数且为减函数,所以,可得

,解不等式

,得

。综上可得

。
例3、设是定义在[-1,1]上的奇函数,且对任意实数a、b∈[-1,1],当

时,都有

。
(1)若a>b,试比较

与

的大小。
(2)解不等式

。
解:(1)由a>b,得

,即

,由题意可得

。因是奇函数,所以

,可得

,即

。
(2)由(1),显然是定义在[-1,1]上的增函数,仿例2,易求出不等式的解为

(同学们不妨自己动手试一试)。
–END–



运用函数的奇偶性与单调性的关系是进行区间转换的一种有效手段。奇函数在对称区间上的单调性相同,且

。偶函数在对称区间上的单调性相反,且

。
例
1、求解方程

。
解:设函数

,则
是奇函数而且单调递增。原方程等价于

,于是有

,即

,得

为所求方程的解。
例
2、若定义在(-
1,
1)上的奇函数
是减函数,且有

,求实数
a的取值范围。
解:由

,解得

,再由
,得

。因
f(x)为奇函数且为减函数,所以
,可得

,解不等式

,得

。综上可得

。
例
3、设
是定义在[-
1,
1]上的奇函数,且对任意实数
a、
b∈[-
1,
1],当

时,都有

。
(
1)若
a>b,试比较

与

的大小。
(
2)解不等式

。
解:(
1)由
a>b,得

,即
,由题意可得

。因
是奇函数,所以

,可得

,即

。
(
2)由(
1),显然
是定义在[-
1,
1]上的增函数,仿例
2,易求出不等式的解为

(同学们不妨自己动手试一试)。
–END–
长按图片点关注,学习路上不迷路!


标签:
